Broadly, there are 3 types of Machine Learning Algorithms..
1. Supervised Learning
How it works: This algorithm consist of a target / outcome variable (or dependent variable) which is to be predicted from a given set of predictors (independent variables). Using these set of variables, we generate a function that map inputs to desired outputs. The training process continues until the model achieves a desired level of accuracy on the training data. Examples of Supervised Learning: Regression,Decision Tree, Random Forest, KNN, Logistic Regression etc.
2. Unsupervised Learning
How it works: In this algorithm, we do not have any target or outcome variable to predict / estimate. It is used for clustering population in different groups, which is widely used for segmenting customers in different groups for specific intervention. Examples of Unsupervised Learning: Apriori algorithm, K-means.
3. Reinforcement Learning:
How it works: Using this algorithm, the machine is trained to make specific decisions. It works this way: the machine is exposed to an environment where it trains itself continually using trial and error. This machine learns from past experience and tries to capture the best possible knowledge to make accurate business decisions. Example of Reinforcement Learning: Markov Decision Process
List of Common Machine Learning Algorithms
Here is the list of commonly used machine learning algorithms. These algorithms can be applied to almost any data problem:
- Linear Regression
- Logistic Regression
- Decision Tree
- SVM
- Naive Bayes
- KNN
- K-Means
- Random Forest
- Dimensionality Reduction Algorithms
- Gradient Boost & Adaboost
1. Linear Regression
It is used to estimate real values (cost of houses, number of calls, total sales etc.) based on continuous variable(s). Here, we establish relationship between independent and dependent variables by fitting a best line. This best fit line is known as regression line and represented by a linear equation Y= a *X + b.
The best way to understand linear regression is to relive this experience of childhood. Let us say, you ask a child in fifth grade to arrange people in his class by increasing order of weight, without asking them their weights! What do you think the child will do? He / she would likely look (visually analyze) at the height and build of people and arrange them using a combination of these visible parameters. This is linear regression in real life! The child has actually figured out that height and build would be correlated to the weight by a relationship, which looks like the equation above.
In this equation:
- Y – Dependent Variable
- a – Slope
- X – Independent variable
- b – Intercept
These coefficients a and b are derived based on minimizing the sum of squared difference of distance between data points and regression line.
Look at the below example. Here we have identified the best fit line having linear equationy=0.2811x+13.9. Now using this equation, we can find the weight, knowing the height of a person.
Linear Regression is of mainly two types: Simple Linear Regression and Multiple Linear Regression. Simple Linear Regression is characterized by one independent variable. And, Multiple Linear Regression(as the name suggests) is characterized by multiple (more than 1) independent variables. While finding best fit line, you can fit a polynomial or curvilinear regression. And these are known as polynomial or curvilinear regression.
Python Code
#Import Library #Import other necessary libraries like pandas, numpy... from sklearn import linear_model #Load Train and Test datasets #Identify feature and response variable(s) and values must be numeric and numpy arrays x_train=input_variables_values_training_datasets y_train=target_variables_values_training_datasets x_test=input_variables_values_test_datasets # Create linear regression object linear = linear_model.LinearRegression() # Train the model using the training sets and check score linear.fit(x_train, y_train) linear.score(x_train, y_train) #Equation coefficient and Intercept print('Coefficient: \n', linear.coef_) print('Intercept: \n', linear.intercept_) #Predict Output predicted= linear.predict(x_test)
R Code
#Load Train and Test datasets #Identify feature and response variable(s) and values must be numeric and numpy arrays x_train <- input_variables_values_training_datasets y_train <- target_variables_values_training_datasets x_test <- input_variables_values_test_datasets x <- cbind(x_train,y_train) # Train the model using the training sets and check score linear <- lm(y_train ~ ., data = x) summary(linear) #Predict Output predicted= predict(linear,x_test)
2. Logistic Regression
Don’t get confused by its name! It is a classification not a regression algorithm. It is used to estimate discrete values ( Binary values like 0/1, yes/no, true/false ) based on given set of independent variable(s). In simple words, it predicts the probability of occurrence of an event by fitting data to a logit function. Hence, it is also known as logit regression. Since, it predicts the probability, its output values lies between 0 and 1 (as expected).
Again, let us try and understand this through a simple example.
Let’s say your friend gives you a puzzle to solve. There are only 2 outcome scenarios – either you solve it or you don’t. Now imagine, that you are being given wide range of puzzles / quizzes in an attempt to understand which subjects you are good at. The outcome to this study would be something like this – if you are given a trignometry based tenth grade problem, you are 70% likely to solve it. On the other hand, if it is grade fifth history question, the probability of getting an answer is only 30%. This is what Logistic Regression provides you.
Coming to the math, the log odds of the outcome is modeled as a linear combination of the predictor variables.
odds= p/ (1-p) = probability of event occurrence / probability of not event occurrence ln(odds) = ln(p/(1-p)) logit(p) = ln(p/(1-p)) = b0+b1X1+b2X2+b3X3....+bkXk
Above, p is the probability of presence of the characteristic of interest. It chooses parameters that maximize the likelihood of observing the sample values rather than that minimize the sum of squared errors (like in ordinary regression).
Now, you may ask, why take a log? For the sake of simplicity, let’s just say that this is one of the best mathematical way to replicate a step function. I can go in more details, but that will beat the purpose of this article.
#Import Library from sklearn.linear_model import LogisticRegression #Assumed you have, X (predictor) and Y (target) for training data set and x_test(predictor) of test_dataset # Create logistic regression object model = LogisticRegression() # Train the model using the training sets and check score model.fit(X, y) model.score(X, y) #Equation coefficient and Intercept print('Coefficient: \n', model.coef_) print('Intercept: \n', model.intercept_) #Predict Output predicted= model.predict(x_test)
R Code
x <- cbind(x_train,y_train) # Train the model using the training sets and check score logistic <- glm(y_train ~ ., data = x,family='binomial') summary(logistic) #Predict Output predicted= predict(logistic,x_test)
Furthermore..
There are many different steps that could be tried in order to improve the model:
- including interaction terms
- removing features
- regularization techniques
- using a non-linear model
3. Decision Tree
This is one of my favorite algorithm and I use it quite frequently. It is a type of supervised learning algorithm that is mostly used for classification problems. Surprisingly, it works for both categorical and continuous dependent variables. In this algorithm, we split the population into two or more homogeneous sets. This is done based on most significant attributes/ independent variables to make as distinct groups as possible..
source: statsexchange
In the image above, you can see that population is classified into four different groups based on multiple attributes to identify ‘if they will play or not’. To split the population into different heterogeneous groups, it uses various techniques like Gini, Information Gain, Chi-square, entropy.
The best way to understand how decision tree works, is to play Jezzball – a classic game from Microsoft (image below). Essentially, you have a room with moving walls and you need to create walls such that maximum area gets cleared off with out the balls.
So, every time you split the room with a wall, you are trying to create 2 different populations with in the same room. Decision trees work in very similar fashion by dividing a population in as different groups as possible.
Python Code
#Import Library #Import other necessary libraries like pandas, numpy... from sklearn import tree #Assumed you have, X (predictor) and Y (target) for training data set and x_test(predictor) of test_dataset # Create tree object model = tree.DecisionTreeClassifier(criterion='gini') # for classification, here you can change the algorithm as gini or entropy (information gain) by default it is gini # model = tree.DecisionTreeRegressor() for regression # Train the model using the training sets and check score model.fit(X, y) model.score(X, y) #Predict Output predicted= model.predict(x_test)
R Code
library(rpart) x <- cbind(x_train,y_train) # grow tree fit <- rpart(y_train ~ ., data = x,method="class") summary(fit) #Predict Output predicted= predict(fit,x_test)
4. SVM (Support Vector Machine)
It is a classification method. In this algorithm, we plot each data item as a point in n-dimensional space (where n is number of features you have) with the value of each feature being the value of a particular coordinate.
For example, if we only had two features like Height and Hair length of an individual, we’d first plot these two variables in two dimensional space where each point has two co-ordinates (these co-ordinates are known as Support Vectors)
Now, we will find some line that splits the data between the two differently classified groups of data. This will be the line such that the distances from the closest point in each of the two groups will be farthest away.
In the example shown above, the line which splits the data into two differently classified groups is theblack line, since the two closest points are the farthest apart from the line. This line is our classifier. Then, depending on where the testing data lands on either side of the line, that’s what class we can classify the new data as.
Think of this algorithm as playing JezzBall in n-dimensional space. The tweaks in the game are:
- You can draw lines / planes at any angles (rather than just horizontal or vertical as in classic game)
- The objective of the game is to segregate balls of different colors in different rooms.
- And the balls are not moving.
Python Code
#Import Library from sklearn import svm #Assumed you have, X (predictor) and Y (target) for training data set and x_test(predictor) of test_dataset # Create SVM classification object model = svm.svc() # there is various option associated with it, this is simple for classification. You can refer link, for mo# re detail. # Train the model using the training sets and check score model.fit(X, y) model.score(X, y) #Predict Output predicted= model.predict(x_test)
R Code
library(e1071) x <- cbind(x_train,y_train) # Fitting model fit <-svm(y_train ~ ., data = x) summary(fit) #Predict Output predicted= predict(fit,x_test)
5. Naive Bayes
It is a classification technique based on Bayes’ theorem with an assumption of independence between predictors. In simple terms, a Naive Bayes classifier assumes that the presence of a particular feature in a class is unrelated to the presence of any other feature. For example, a fruit may be considered to be an apple if it is red, round, and about 3 inches in diameter. Even if these features depend on each other or upon the existence of the other features, a naive Bayes classifier would consider all of these properties to independently contribute to the probability that this fruit is an apple.
Naive Bayesian model is easy to build and particularly useful for very large data sets. Along with simplicity, Naive Bayes is known to outperform even highly sophisticated classification methods.
Bayes theorem provides a way of calculating posterior probability P(c|x) from P(c), P(x) and P(x|c). Look at the equation below:


Here,
- P(c|x) is the posterior probability of class (target) given predictor (attribute).
- P(c) is the prior probability of class.
- P(x|c) is the likelihood which is the probability of predictor given class.
- P(x) is the prior probability of predictor.
Example: Let’s understand it using an example. Below I have a training data set of weather and corresponding target variable ‘Play’. Now, we need to classify whether players will play or not based on weather condition. Let’s follow the below steps to perform it.
Step 1: Convert the data set to frequency table
Step 2: Create Likelihood table by finding the probabilities like Overcast probability = 0.29 and probability of playing is 0.64.
Step 3: Now, use Naive Bayesian equation to calculate the posterior probability for each class. The class with the highest posterior probability is the outcome of prediction.
Problem: Players will pay if weather is sunny, is this statement is correct?
We can solve it using above discussed method, so P(Yes | Sunny) = P( Sunny | Yes) * P(Yes) / P (Sunny)
Here we have P (Sunny |Yes) = 3/9 = 0.33, P(Sunny) = 5/14 = 0.36, P( Yes)= 9/14 = 0.64
Now, P (Yes | Sunny) = 0.33 * 0.64 / 0.36 = 0.60, which has higher probability.
Naive Bayes uses a similar method to predict the probability of different class based on various attributes. This algorithm is mostly used in text classification and with problems having multiple classes.
Python Code
#Import Library from sklearn.naive_bayes import GaussianNB #Assumed you have, X (predictor) and Y (target) for training data set and x_test(predictor) of test_dataset # Create SVM classification object model = GaussianNB() # there is other distribution for multinomial classes like Bernoulli Naive Bayes, # Train the model using the training sets and check score model.fit(X, y) #Predict Output predicted= model.predict(x_test)
R Code
library(e1071) x <- cbind(x_train,y_train) # Fitting model fit <-naiveBayes(y_train ~ ., data = x) summary(fit) #Predict Output predicted= predict(fit,x_test)
6. KNN (K- Nearest Neighbors)
It can be used for both classification and regression problems. However, it is more widely used in classification problems in the industry. K nearest neighbors is a simple algorithm that stores all available cases and classifies new cases by a majority vote of its k neighbors. The case being assigned to the class is most common amongst its K nearest neighbors measured by a distance function.
These distance functions can be Euclidean, Manhattan, Minkowski and Hamming distance. First three functions are used for continuous function and fourth one (Hamming) for categorical variables. If K = 1, then the case is simply assigned to the class of its nearest neighbor. At times, choosing K turns out to be a challenge while performing KNN modeling.
KNN can easily be mapped to our real lives. If you want to learn about a person, of whom you have no information, you might like to find out about his close friends and the circles he moves in and gain access to his/her information!
Things to consider before selecting KNN:
- KNN is computationally expensive
- Variables should be normalized else higher range variables can bias it
- Works on pre-processing stage more before going for KNN like outlier, noise removal
Python Code
#Import Library from sklearn.neighbors import KNeighborsClassifier #Assumed you have, X (predictor) and Y (target) for training data set and x_test(predictor) of test_dataset # Create KNeighbors classifier object model KNeighborsClassifier(n_neighbors=6) # default value for n_neighbors is 5 # Train the model using the training sets and check score model.fit(X, y) #Predict Output predicted= model.predict(x_test)
R Code
library(knn) x <- cbind(x_train,y_train) # Fitting model fit <-knn(y_train ~ ., data = x,k=5) summary(fit) #Predict Output predicted= predict(fit,x_test)
7. K-Means
It is a type of unsupervised algorithm which solves the clustering problem. Its procedure follows a simple and easy way to classify a given data set through a certain number of clusters (assume k clusters). Data points inside a cluster are homogeneous and heterogeneous to peer groups.
Remember figuring out shapes from ink blots? k means is somewhat similar this activity. You look at the shape and spread to decipher how many different clusters / population are present!
How K-means forms cluster:
- K-means picks k number of points for each cluster known as centroids.
- Each data point forms a cluster with the closest centroids i.e. k clusters.
- Finds the centroid of each cluster based on existing cluster members. Here we have new centroids.
- As we have new centroids, repeat step 2 and 3. Find the closest distance for each data point from new centroids and get associated with new k-clusters. Repeat this process until convergence occurs i.e. centroids does not change.
How to determine value of K:
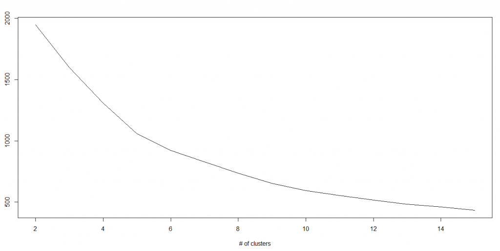
In K-means, we have clusters and each cluster has its own centroid. Sum of square of difference between centroid and the data points within a cluster constitutes within sum of square value for that cluster. Also, when the sum of square values for all the clusters are added, it becomes total within sum of square value for the cluster solution.
We know that as the number of cluster increases, this value keeps on decreasing but if you plot the result you may see that the sum of squared distance decreases sharply up to some value of k, and then much more slowly after that. Here, we can find the optimum number of cluster.
Python Code
#Import Library from sklearn.cluster import KMeans #Assumed you have, X (attributes) for training data set and x_test(attributes) of test_dataset # Create KNeighbors classifier object model k_means = KMeans(n_clusters=3, random_state=0) # Train the model using the training sets and check score model.fit(X) #Predict Output predicted= model.predict(x_test)
R Code
library(cluster) fit <- kmeans(X, 3) # 5 cluster solution
8. Random Forest
Random Forest is a trademark term for an ensemble of decision trees. In Random Forest, we’ve collection of decision trees (so known as “Forest”). To classify a new object based on attributes, each tree gives a classification and we say the tree “votes” for that class. The forest chooses the classification having the most votes (over all the trees in the forest).
Each tree is planted & grown as follows:
- If the number of cases in the training set is N, then sample of N cases is taken at random but with replacement. This sample will be the training set for growing the tree.
- If there are M input variables, a number m<<M is specified such that at each node, m variables are selected at random out of the M and the best split on these m is used to split the node. The value of m is held constant during the forest growing.
- Each tree is grown to the largest extent possible. There is no pruning.
Python
#Import Library from sklearn.ensemble import RandomForestClassifier #Assumed you have, X (predictor) and Y (target) for training data set and x_test(predictor) of test_dataset # Create Random Forest object model= RandomForestClassifier() # Train the model using the training sets and check score model.fit(X, y) #Predict Output predicted= model.predict(x_test)
R Code
library(randomForest) x <- cbind(x_train,y_train) # Fitting model fit <- randomForest(Species ~ ., x,ntree=500) summary(fit) #Predict Output predicted= predict(fit,x_test)
9. Dimensionality Reduction Algorithms
In the last 4-5 years, there has been an exponential increase in data capturing at every possible stages. Corporates/ Government Agencies/ Research organisations are not only coming with new sources but also they are capturing data in great detail.
For example: E-commerce companies are capturing more details about customer like their demographics, web crawling history, what they like or dislike, purchase history, feedback and many others to give them personalized attention more than your nearest grocery shopkeeper.
As a data scientist, the data we are offered also consist of many features, this sounds good for building good robust model but there is a challenge. How’d you identify highly significant variable(s) out 1000 or 2000? In such cases, dimensionality reduction algorithm helps us along with various other algorithms like Decision Tree, Random Forest, PCA, Factor Analysis, Identify based on correlation matrix, missing value ratio and others.
Python Code
#Import Library from sklearn import decomposition #Assumed you have training and test data set as train and test # Create PCA obeject pca= decomposition.PCA(n_components=k) #default value of k =min(n_sample, n_features) # For Factor analysis #fa= decomposition.FactorAnalysis() # Reduced the dimension of training dataset using PCA train_reduced = pca.fit_transform(train) #Reduced the dimension of test dataset test_reduced = pca.transform(test)
R Code
library(stats) pca <- princomp(train, cor = TRUE) train_reduced <- predict(pca,train) test_reduced <- predict(pca,test)
10. Gradient Boosting & AdaBoost
GBM & AdaBoost are boosting algorithms used when we deal with plenty of data to make a prediction with high prediction power. Boosting is an ensemble learning algorithm which combines the prediction of several base estimators in order to improve robustness over a single estimator. It combines multiple weak or average predictors to a build strong predictor. These boosting algorithms always work well in data science competitions like Kaggle, AV Hackathon, CrowdAnalytix.
Python Code
#Import Library from sklearn.ensemble import GradientBoostingClassifier #Assumed you have, X (predictor) and Y (target) for training data set and x_test(predictor) of test_dataset # Create Gradient Boosting Classifier object model= GradientBoostingClassifier(n_estimators=100, learning_rate=1.0, max_depth=1, random_state=0) # Train the model using the training sets and check score model.fit(X, y) #Predict Output predicted= model.predict(x_test)
R Code
library(caret) x <- cbind(x_train,y_train) # Fitting model fitControl <- trainControl( method = "repeatedcv", number = 4, repeats = 4) fit <- train(y ~ ., data = x, method = "gbm", trControl = fitControl,verbose = FALSE) predicted= predict(fit,x_test,type= "prob")[,2] .










